学院资讯
通知公告
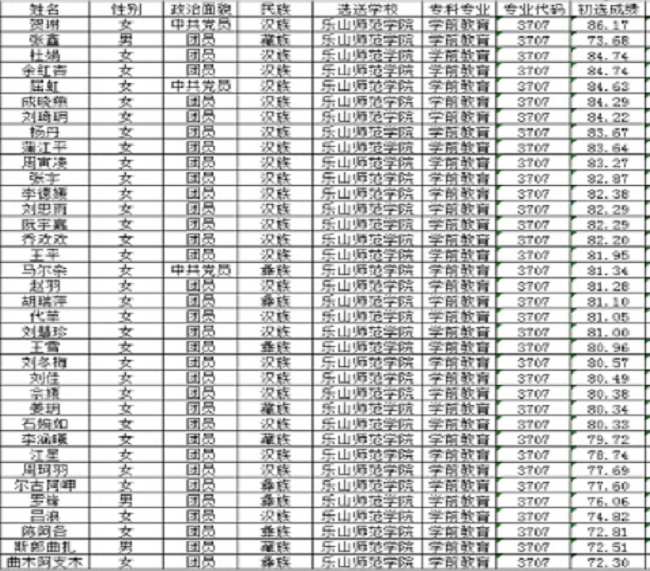
乐山师范学院2019年“专升本”初试通过学生信息公示
日期:2019-04-15 15:42:47  发布人:张波  浏览量:

    根据《乐山师范学院关于2019年选拔优秀专科毕业生进入本科阶段学习的通知》(乐师院教〔2019〕12号)文件要求,在前期组织宣传、报名的基础上,按照学院初试方案审查资格,报经学院党政联席会研究,拟向学校报送通过初试学生名单如下(详见附件:乐山师范学院2019年“专升本”学生初试汇总表(2019年4月15日)):


公示时间 :

如有异议,请在公示期(5个工作日:4月15-19日)之内,向学院2019年“专升本”工作领导小组小组反映。
   联系电话: 办公电话:2271091    
   王立新(18980264410)            张波(18981300786)
   联系邮箱:
36887500@qq.com      4473382@qq.com

 

?